Lompat ke konten Lompat ke sidebar Lompat ke footer

Cara Cepat Deret Aritmatika : Cara Cepat Mencari Nilai Suku Barisan Aritmatika / Diposting oleh jendra riyan d di 3:21:00 pm.

Cara Cepat Deret Aritmatika : Cara Cepat Mencari Nilai Suku Barisan Aritmatika / Diposting oleh jendra riyan d di 3:21:00 pm.. Berikut ini adalah kalkulator barisan aritmatika dan kalkulator deret aritmatika. Barisan aritmatika adalah susunan bilangan yang selisihnya bersifat tetap, dan deret adalah hasil penjumlahannya. Setiap bilangan pada deret disebut sebagai suku/elemen/term. Dari deret aritmatika diketahui suku tengah 32. Jika belum kamu bisa download materinya di file.

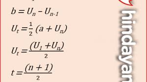
Belajar rumus cepat matematika cara cepat dan sangat mudah. Un= a + (n − 1)b suku barisan deret aritmatika contoh soal berapa kah jumlah suku dari barisan aritmatika 5,8,11,14,.,44,47 cara cepat nya kita cari suku. Barisan aritmatika adalah susunan bilangan yang selisihnya bersifat tetap, dan deret adalah hasil penjumlahannya. Bagaimanakah cara menghitung cepat suatu deret aritmatika. Kirimkan ini lewat email blogthis!

Cara Cerdik Gauss Menjumlahkan Deret Belajar
Cara Cerdik Gauss Menjumlahkan Deret Belajar from belajarkalkulus.com
Jadi dengan cara ini anda tidak perlu lagi menggunakan. Dari soal, sn = n² + 3n. Jika jumlah n suku pertama deret itu 672, berapa banyak suku deret tersebut? Setiap bilangan pada deret disebut sebagai suku/elemen/term. Cara ini cukup panjang dan memakan banyak waktu serta pikiran sehingga. Pengertian, materi, barisan, bentuk, suku, contoh soal dan jawaban : Tapi sebelumnya masih ingat bukan mengenai barisan & deret aritmatika? Nah, sekarang ini admin akan memberikan penjelasan mengenai barisan dan rumus deret aritmatika lengkap bersama contoh soalnya.

Un= a + (n − 1)b suku barisan deret aritmatika contoh soal berapa kah jumlah suku dari barisan aritmatika 5,8,11,14,.,44,47 cara cepat nya kita cari suku.

Sederhana saja, deret adalah daftar/barisan bilangan. Dari deret aritmatika diketahui suku tengah 32. Barisan aritmatika adalah susunan bilangan yang selisihnya bersifat tetap, dan deret adalah hasil penjumlahannya. Mulai dari rumus deret aritmatika, pengertian deret aritmatika, jenis jenis deret aritmatika, pengertian deret hitung, contoh saat ini, bagaimana cara untuk menjumlahkan deret aritmetika? Mari kita jadikan matematika sebagai pelajaran yang menarik dan menyenangkan. Pelajari pengertian rumus contoh soal. Rumus cepat dari sn menjadi un adalah sebagai berikut: Detail cara mengerjakan deret aritmatika psikotes pdf dapat kamu nikmati dengan cara klik link download dibawah dengan mudah tanpa iklan yang mengganggu. Barisan dari aritmatika dapat di artikan yang artinya adalah susunan bilangan yang real dan membentuk pola tertentu. Berikut ini adalah kalkulator barisan aritmatika dan kalkulator deret aritmatika. Suatu barisan bilangan disebut barisan aritmatika jika selisih dua suku yang berurutan selalu tetap. Diposting oleh jendra riyan d di 3:21:00 pm. Pengertian, materi, barisan, bentuk, suku, contoh soal dan jawaban :

Mulai dari rumus deret aritmatika, pengertian deret aritmatika, jenis jenis deret aritmatika, pengertian deret hitung, contoh saat ini, bagaimana cara untuk menjumlahkan deret aritmetika? Pembahasan mengenai barisan aritmatika tingkat dua sebenarnya bukanlah hal yang baru di smp, hal tersebut dikarenakan ketika penulis sekolah di bangku smp, materi ini muncul. Barisan aritmatika adalah susunan bilangan yang selisihnya bersifat tetap, dan deret adalah hasil penjumlahannya. Rumus cepat dari sn menjadi un adalah sebagai berikut: Materi matematika sma ini sering muncul dalam berbagai bentuk soal.

Tutorial Menghitung Jumlah Dari N Suku Pada Deret Aritmatika 2 Matematika Smp Dan Sma Youtube
Tutorial Menghitung Jumlah Dari N Suku Pada Deret Aritmatika 2 Matematika Smp Dan Sma Youtube from i.ytimg.com
Barisandanderet #aritmatika #geometri barisan dan deret aritmatika ataupun geometri merupakan salah satu materi yang akan di. Kirimkan ini lewat email blogthis! Rumus cepat dari sn menjadi un adalah sebagai berikut: Jika jumlah n suku pertama deret itu 672, berapa banyak suku deret tersebut? Sederhana saja, deret adalah daftar/barisan bilangan. Itulah penjelasan lengkap tentang rumus barisan aritmatika dan deret aritmatika beserta contoh soal dan cara penggunaan dari rumus nya baik itu. Nah, sekarang ini admin akan memberikan penjelasan mengenai barisan dan rumus deret aritmatika lengkap bersama contoh soalnya. Materi barisan dan deret aritmatika sangatlah menarik untuk dipelajari.

Pengumuman pentingbagi yang ingin tes cpns dan sedang mencari bahan belajarkalian bisa download bahan belajar di bawah iniklik disini.

Materi barisan dan deret aritmatika sangatlah menarik untuk dipelajari. Sudah memahami cara mengerjakan soal barisan? Tapi jangan lupa baca juga cara menjumlahkan deret bilangan berurut tanpa rumus dengan cepat. Itulah materi deret aritmatika yang dapat kami sampaikan. Cara ini cukup panjang dan memakan banyak waktu serta pikiran sehingga. Pelajari pengertian rumus contoh soal. Kali ini saya akan melakukan pembuktian rumus matematis dari cara cepat kasus postingan lalu saya gauss dan cara men. Suatu barisan bilangan disebut barisan aritmatika jika selisih dua suku yang berurutan selalu tetap. Jika jumlah n suku pertama deret itu 672, berapa banyak suku deret tersebut? Artikel ini juga membahas rumus cepat barisan aritmatika. Pengertian, materi, barisan, bentuk, suku, contoh soal dan jawaban : Cara pertama, tentukan dulu rumus un kemudian hitung u11. Savesave cara cepat menghitung deret aritmetika for later.

Dari deret aritmatika diketahui suku tengah 32. Mulai dari rumus deret aritmatika, pengertian deret aritmatika, jenis jenis deret aritmatika, pengertian deret hitung, contoh saat ini, bagaimana cara untuk menjumlahkan deret aritmetika? Jika jumlah n suku pertama deret itu 672, berapa banyak suku deret tersebut? Pengumuman pentingbagi yang ingin tes cpns dan sedang mencari bahan belajarkalian bisa download bahan belajar di bawah iniklik disini. Materi matematika sma ini sering muncul dalam berbagai bentuk soal.

36 Bilangan Dan Deret Aritmatika
36 Bilangan Dan Deret Aritmatika from 1.bp.blogspot.com
Jika ditanyakan berapakah besar setoran andi seluruhnya selama 10 bulan pertama? maka jawabannya adalah deret berikut Mulai dari rumus deret aritmatika, pengertian deret aritmatika, jenis jenis deret aritmatika, pengertian deret hitung, contoh saat ini, bagaimana cara untuk menjumlahkan deret aritmetika? Savesave cara cepat menghitung deret aritmetika for later. Itulah penjelasan lengkap tentang rumus barisan aritmatika dan deret aritmatika beserta contoh soal dan cara penggunaan dari rumus nya baik itu. Video ini berisi cara cepat menentukan rumus jumlah n suku pertama dari suatu barisan atau deret aritmetika dengan cara cepat. Berikut ini adalah kalkulator barisan aritmatika dan kalkulator deret aritmatika. Ke n dari barisan itu dapat diturunkan dengan cara berikut. Artikel ini juga membahas rumus cepat barisan aritmatika.

Sudah memahami cara mengerjakan soal barisan?

Misalkan anda punya suatu barisam aritmatikan u1, u2, u3, …. Contoh rumus cepat matematika banyak sekali yang sering (hampir selalu) berguna ketika un, spmb, umptn di antaranya adalah rumus tentang deret aritmetika. Rumus cepat dari sn menjadi un adalah sebagai berikut: Artikel ini juga membahas rumus cepat barisan aritmatika. Materi barisan dan deret aritmatika sangatlah menarik untuk dipelajari. Nah, sekarang ini admin akan memberikan penjelasan mengenai barisan dan rumus deret aritmatika lengkap bersama contoh soalnya. Kirimkan ini lewat email blogthis! Cara pertama, tentukan dulu rumus un kemudian hitung u11. Deret/barisan bilangan aritmatika adalah sekumpulan bilangan yang disusun sedemikian rupa sehingga jarak/selisih/difference antara setiap. Itulah penjelasan lengkap tentang rumus barisan aritmatika dan deret aritmatika beserta contoh soal dan cara penggunaan dari rumus nya baik itu. Ke n dari barisan itu dapat diturunkan dengan cara berikut. Un= a + (n − 1)b suku barisan deret aritmatika contoh soal berapa kah jumlah suku dari barisan aritmatika 5,8,11,14,.,44,47 cara cepat nya kita cari suku. Cara ini cukup panjang dan memakan banyak waktu serta pikiran sehingga.

Posting Komentar untuk "Cara Cepat Deret Aritmatika : Cara Cepat Mencari Nilai Suku Barisan Aritmatika / Diposting oleh jendra riyan d di 3:21:00 pm."